今回から回路図を書いていきます。
今回のプロジェクト名 : esp32_board
「esp32_board」というフォルダを作成して、その中にプロジェクトファイルやその他関連ファイルを保存するようにします。
以下は基板アートワークを行う場合に必要となります。
また、自分流のやり方ではありますが、回路図を作成するときは以下のように行っています。

次回は少し回路図の解説をします。
次 > 回路図の解説その1
前 > ライブラリ作成(その2)
KiCadプロジェクトの作成
KiCadのプロジェクトを作成していませんでしたので、ESP-WROOM-32汎用基板のプロジェクトを新規作成します 。今回のプロジェクト名 : esp32_board
「esp32_board」というフォルダを作成して、その中にプロジェクトファイルやその他関連ファイルを保存するようにします。
回路図の作成
プロジェクトを作成して準備が整ったので、回路図エディタを起動して回路図を作成していきます。KiCadの回路図エディタでの手順としては
- 必要があれば回路図のサイズを変更する
(デフォルトではA4になっているかと思います。自分はA3にすることが多いです) - コンポーネントを配置する。
- コンポーネント間を配線する。
- 必要に応じてコンポーネント定数の変更やコメントテキストを追加する 。
- 回路図を書き終えたら、アノテーション(コンポーネントの部品番号を割り付けること)を行う。
- ERC(エレクトリカルルールチェック)を行う。
- ERCでミスを発見したら回路図を修正する。
- 外部に公開する場合はタイトルなど必要事項を記入する。
以下は基板アートワークを行う場合に必要となります。
- CvPcbでコンポーネントとフットプリントの割り付けを行う。
- ネットリスト生成を行う
また、自分流のやり方ではありますが、回路図を作成するときは以下のように行っています。
自分流回路図作成方法
- 仕様を考えた時のブロック図のブロック単位で作成していきます。
(今回の例では、電源回路、ESP-WROOM-32周辺回路、USBシリアル変換回路、I/Oコネクタ部など)
- ブロック間の接続は後回しにして、ブロック単体で作成できる部分をまず作っていきます。
- 見やすさに応じて変えますが、自分の場合はブロック間の接続は「グローバルラベル」を使用して接続することが多いです。
- グローバルラベルを多く使うと接続されている箇所がわかりづらくなることもありますが、回路図をブロック単位でまとめられるので、移動やコピーなどは楽に行えます。

- 電源シンボル(GNDやVCC、+5Vなど)を最初に決めてしまった方が楽だと思いますので、電源ブロック(電源回路)はまず初めに作成します。
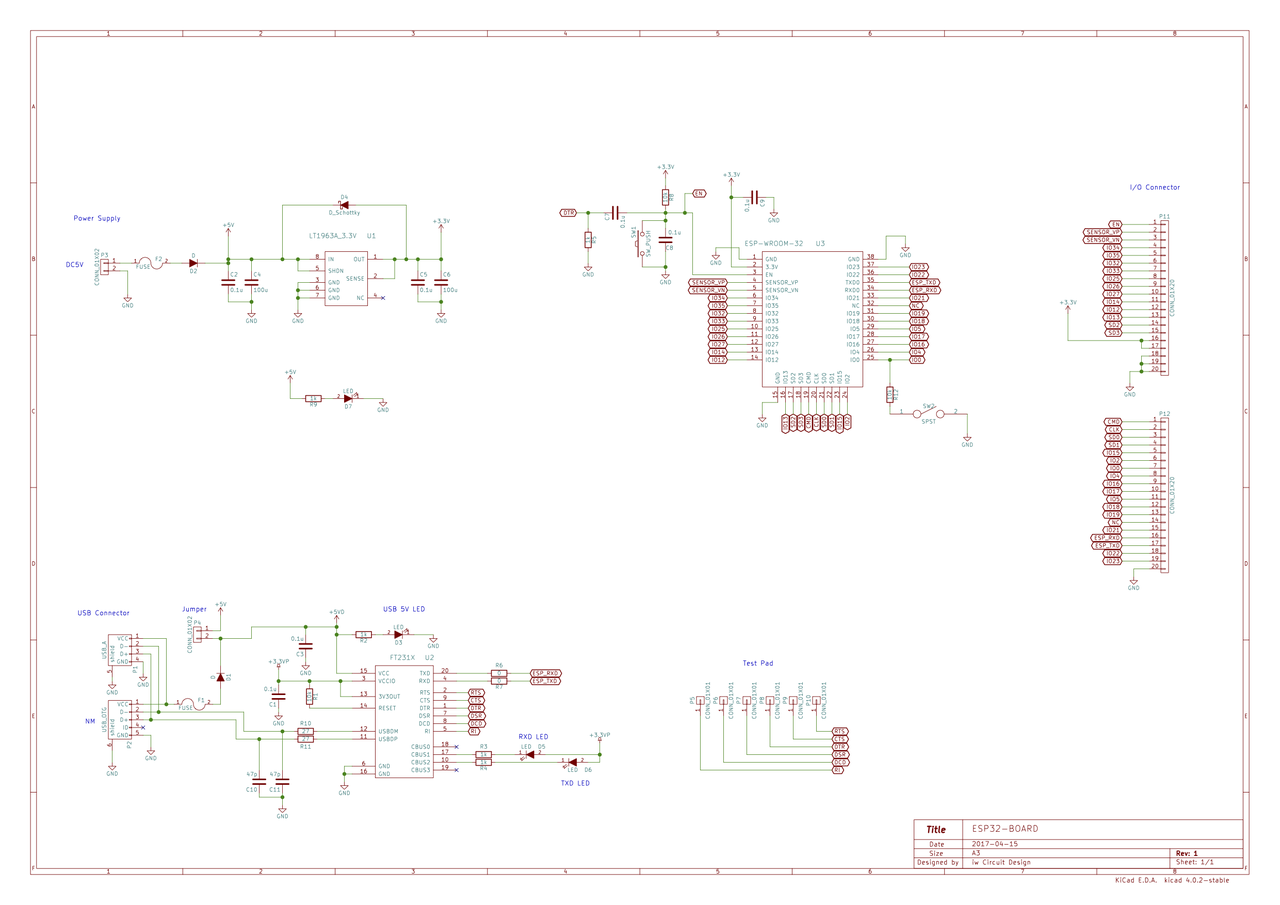
回路図
そんなこんなで出来上がった回路図です。
次回は少し回路図の解説をします。
次 > 回路図の解説その1
前 > ライブラリ作成(その2)
